Download Lagu MP3 & Video: Example 29 Prove Cos2 X Cos2 X Pi 3 Cos2 X Pi 3
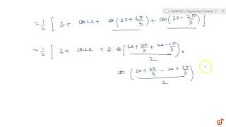
Example 29.prove that cos²x cos²(x π/2) cos²(x-π/3)=3/2 || 11th math chapter3 example29
XCKUENACMJG - 4 years ago
Download
Example 29 Chapter3 Class 11 Math || Example29 Class11 Ch 3 NCERT Math || Chapter3 Example29 Class11
Nexa Classes-Deepak Antil - 4 years ago
Download
XI Trigonometric Functions Prove that cos^2 x cos^2x π 3 cos^2x π 3 3 2
online maths - 4 years ago
Download
Cos²x Cos²(x π/3) Cos²(x-π/3)=3/2 l Example 32 Trigonometry 11th Class l Maths by GOVINDA RAO
SREP Govinda Rao Classes - 5 years ago
Download

![Example-29.prove that cos²x cos²[x π/2] cos²[x-π/3]=3/2. Class-11 Example-29.prove that cos²x cos²[x π/2] cos²[x-π/3]=3/2. Class-11](https://i.ytimg.com/vi/fcxtzNk6D2o/mqdefault.jpg)







