Download Lagu MP3 & Video: Answered Ii Three Vectors Are Shown In Fig Bartleby
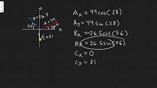
Three vectors are shown 3.38. Their magnitudes are given in arbitrary units. Determine the sum of th
The Answer Key - 3 years ago
Download
(II) Three vectors are shown in Fig. 38 . Their magnitudes are given in arbitrary units. Determine …
Melissa Dela cruz - 9 months ago
Download
[Physics] Three vectors are shown in Fig. 3-35. Their magnitudes are given in arbitrary units. Deter
Brain Vision - 1 year ago
Download
(3-10) Three vectors are shown in Fig. 3-38. Their magnitudes are given in arbitrary units.
Chegg Questions Solution - 1 year ago
Download
(3-10) Three vectors are shown in Fig. 3-38. Their magnitudes are given in arbitrary units. Determin
Zhangjin Xu - 5 years ago
Download
(3-13) For the vectors shown in Fig. 3-38, determine (a) B - 2A, (b) 2A — 3B 2C.
Zhangjin Xu - 5 years ago
Download
the sum of three vectors shown in fig. is zero. What is magnitude of OC ?(a)10 m(b)5√5 m(c)5m(d)5√2m
Solution Mitra - 1 year ago
Download



![[Physics] Three vectors are shown in Fig. 3-35. Their magnitudes are given in arbitrary units. Deter [Physics] Three vectors are shown in Fig. 3-35. Their magnitudes are given in arbitrary units. Deter](https://i.ytimg.com/vi/H9rgwrU2muk/mqdefault.jpg)





